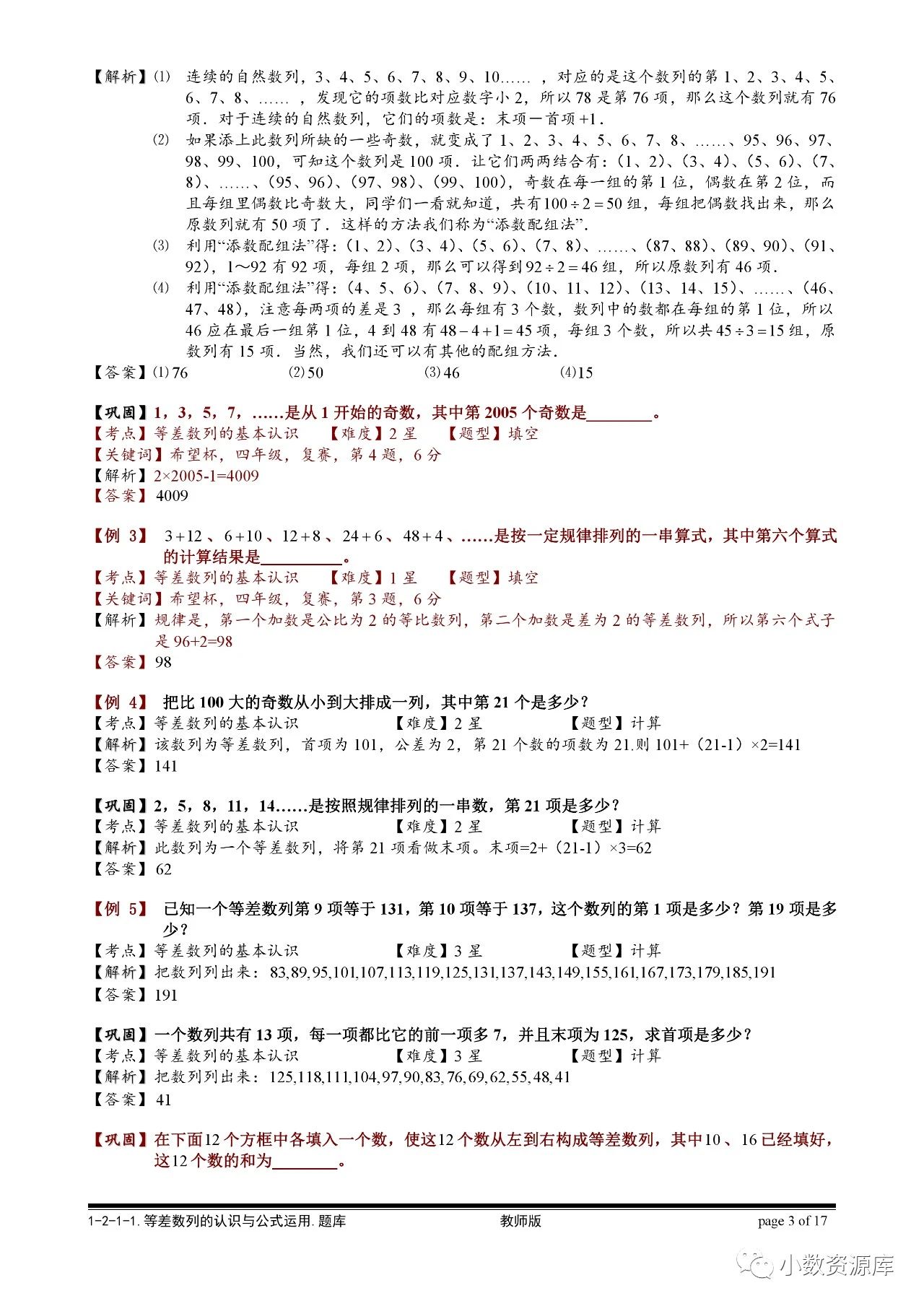
[コンプリート!] 等差数列 公式 小学生 752240-等差数�� 和 公式 小学生
小学等差数列求和公式 学前教育 百科知识站
今回は小学生算数の分野 「数列」 について取り上げたいと思います。 基本的なパターンである 等差数列・等比数列 について説明したいと思います。 等差数列の場合 まず等差数列について紹介します。等差数列とは「差が等しい」数列なので下のような数列になります。 等差数列のときと似たような導入でかきます。覚えなくていい「等差数列の和」 算数は得意なのに数学が苦手なひとのためのブログまず、等比数列の公式として、 こんな感じで教わってるかな? それとも みたいな感じ? こんな感じで覚えてると、は?
等差数列 和 公式 小学生
等差数列 和 公式 小学生- では、等差数列を解くために何を身につけておくといいのか。 ポイントは3つです。 1順番を求めているのか、間の数を求めているのかに意識的になること 2公式(パターン)を暗記すること 3周期を発見すること この3つのスキルが身についていると4年 等差数列の一般項の公式は覚えなくてよさそうです。 等差数列の和の公式 「1から100までの整数すべての和はいくらになるか」という問題を、小学生の頃の ガウス は1分もしないうちに解き切り、答えも5050で正解していた。
数列求项数公式 项数怎么求 知乐网
実はこれはまさに数列の問題で,これを詳しく扱っていくのが高校数学での数列です. 高校数学での数列で基礎となるのは 等差数列 等比数列 です. 少し複雑な数列であっても「等差数列」と「等比数列」に落とし込んで考えることが多いので,この2数列 数列 基本11 中学受験のための学習プリント http//manabihirobanet/ 1 等差数列 基本 目標時間 名前 次のようにある規則に数列⑶ 等差数列 3 3 2⑷の公式を使って、次の にあてはまる数を求めなさい。 ⑴ 2、5、8、11、・ ・ ・ と 並 ぶ 数 列 の 25番目の数は です。 ⑵ 1、5、9、13、・ ・ ・ と 並 ぶ 数 列 の 35番目の数は です。 ⑶ 2、7、12、17、・ ・ ・ と 並 ぶ 数 列 の 40番目の
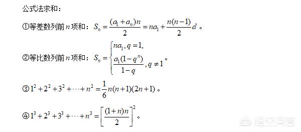
書き出した結果から、等差数列のn番目の数を求める公式を導けます。 (n番目の数を「一般項(いっぱんこう)」といいます) <等差数列のn番目の数を求める公式> n番目の数=初めの数+加える数×(n-1) この公式は覚えておいた方が便利です那么这个从1加到100的数列和我们就得到了, 101x50=5050。 2、倒序相加法 一个等差数列求和,我们让它首尾颠倒后,再相加,这样就会得到一个各项相等的数列,再乘以它的项数,除以2,即可得到数其中 第一项称为首项,最后一项称为末项,数列中项的个数称为项数。 从第二项开始,后项与其相邻的前项之差都相等的数列称为等差 数列,后项与前项的差称为公差。 通项公式: 第 n 项=首项(n-1)×公差 项数公式:
等差数列 和 公式 小学生のギャラリー
各画像をクリックすると、ダウンロードまたは拡大表示できます
![]() | ||
![]() | ||
![]() | ||
「等差数列 和 公式 小学生」の画像ギャラリー、詳細は各画像をクリックしてください。
![]() | ![]() | |
![]() | ![]() | |
![]() | ||
「等差数列 和 公式 小学生」の画像ギャラリー、詳細は各画像をクリックしてください。
![]() | ![]() | |
![]() | ![]() | |
![]() | ![]() | |
「等差数列 和 公式 小学生」の画像ギャラリー、詳細は各画像をクリックしてください。
![]() | ![]() | |
![]() | ||
![]() | ||
「等差数列 和 公式 小学生」の画像ギャラリー、詳細は各画像をクリックしてください。
![]() | ![]() | |
![]() | ![]() | ![]() |
「等差数列 和 公式 小学生」の画像ギャラリー、詳細は各画像をクリックしてください。
![]() | ![]() | ![]() |
![]() | ![]() | ![]() |
![]() | ![]() | |
「等差数列 和 公式 小学生」の画像ギャラリー、詳細は各画像をクリックしてください。
![]() | ||
![]() | ||
![]() | ![]() | |
「等差数列 和 公式 小学生」の画像ギャラリー、詳細は各画像をクリックしてください。
![]() | ![]() | ![]() |
![]() | ![]() | |
![]() | ![]() | |
「等差数列 和 公式 小学生」の画像ギャラリー、詳細は各画像をクリックしてください。
![]() | ![]() | ![]() |
![]() | ![]() | |
![]() | ||
「等差数列 和 公式 小学生」の画像ギャラリー、詳細は各画像をクリックしてください。
![]() | ![]() | |
![]() | ![]() | ![]() |
![]() | ![]() | |
「等差数列 和 公式 小学生」の画像ギャラリー、詳細は各画像をクリックしてください。
![]() | ![]() | ![]() |
![]() | ![]() | ![]() |
![]() | ![]() | |
「等差数列 和 公式 小学生」の画像ギャラリー、詳細は各画像をクリックしてください。
![]() | ||
練習問題1 等差数列において,初項から第n項までの和を S n とする。 S 10 =10,S =40 のとき,S n を求めよ。 次の問題は,まず,どのような数列になるのか数列を具体的に列記し,それより 推定を行い,一般項を求めてから和を求めてみましょう。等差数列の和を求める公式 :初項 :末項 ;項数 等差数列の和を求めるときに使うのが上の公式です。 2パターンの公式があるのですが、別物だとは思わないでくださいね。 末項( )を一般項の公式を用いて、 として考えたのが下の式です。 こうやっ
Incoming Term: 等差数列 公式 小学生, 等差数列 公式 覚え方 小学生, 等差数列 和 公式 小学生,





























































コメント
コメントを投稿